Phone:086 18576671093
Research on Layout Design Method of Ultra-thin FPC_3_Analysis of Layout Design Methods
1.2 Mesh Copper Reference Plane Analysis
The mesh reference plane is one of the commonly used design methods, which has two advantages. Firstly, the mesh reference plane can make the finished cable more flexible. Secondly, it has a certain effect on EMC (Electromagnetic Compatibility). However, the current commonly used mesh reference plane design has some defects and tends to be more arbitrary. There is a lack of research on aspects such as mesh size, mesh ratio, and mesh form, which often leads to poor shielding effectiveness of the manufactured mesh reference plane, and even the situation where both signal integrity and EMC effects are unsatisfactory. This article mainly focuses on this aspect for research and analysis, striving to achieve optimization of mesh design. The specific analysis is as follows:
The current conventional mesh copper reference plane design, as shown in Figure 2, is basically using a 45-degree uniform inclined mesh.

Figure 2 Conventional Mesh Copper Reference Plane Design
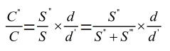
In order to achieve the design goal of C'/C=1 without changing the line width W, the use of a mesh reference plane is inevitable. Thus, there is the FPC (Flexible Printed Circuit) routing capacitance C'' (mesh reference plane):

S″ is the projection area of the FPC routing on the mesh reference plane, with the same layer spacing as the solid copper reference plane FPC, and the spacing is also d′. By taking the ratio of equations (1) and (3), we can obtain:

The design goal becomes to achieve C'/C=1. By decomposing and analyzing the mesh, that is:
![]()
Sn is the projection area of a single mesh

An is the non-projection area of a single mesh;
S″ is the total projection area of the FPC routing on the mesh reference plane, which is the sum of the non-projection areas of the routing;

If C'/C=1, then we get: k=d/d' - 1
From the above analysis, it can be seen that the duty cycle k of the mesh reference plane is related to the layer spacing of the FPC and the normal solid copper FR4. In this paper, the value of d is approximately 4 mil, and the maximum value of d' is 1 mil, with a minimum of 0.4 mil. From this, we can obtain that the range of k values is: [3 → 10]. The above analysis in this paper assumes that the dielectric constants of FPC and FR4 materials are equal, but in reality, there are differences between them, which will result in numerical deviations. The range of k values will shrink and be in decimal form. However, when using a mesh copper reference plane, integers are usually chosen as the selectable values. Therefore, in actual design, according to the description in this paper, the allowable values for the duty cycle k are: 4, 5, 6, 7, and 8, these five integers.



